Note
Go to the end to download the full example code.
Attributes#
Example illustrating how attributes of nodes, edges, and graphs are handled
during conversion to/from AGraph.

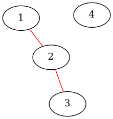
edges
[('1', '2', {'color': 'red'}), ('2', '3', {'color': 'red'})]
default graph attributes
{'graph': {}, 'node': {}, 'edge': {'color': ''}}
node node attributes
[('1', {}), ('2', {}), ('3', {}), ('4', {})]
import networkx as nx
G = nx.Graph()
G.add_edge(1, 2, color="red")
G.add_edge(2, 3, color="red")
G.add_node(3)
G.add_node(4)
A = nx.nx_agraph.to_agraph(G) # convert to a graphviz graph
A.draw("attributes.png", prog="neato") # Draw with pygraphviz
# convert back to networkx Graph with attributes on edges and
# default attributes as dictionary data
X = nx.nx_agraph.from_agraph(A)
print("edges")
print(list(X.edges(data=True)))
print("default graph attributes")
print(X.graph)
print("node node attributes")
print(X.nodes.data(True))
Total running time of the script: (0 minutes 0.041 seconds)